各位考生:
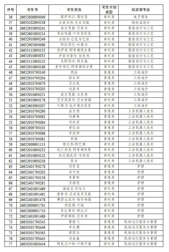
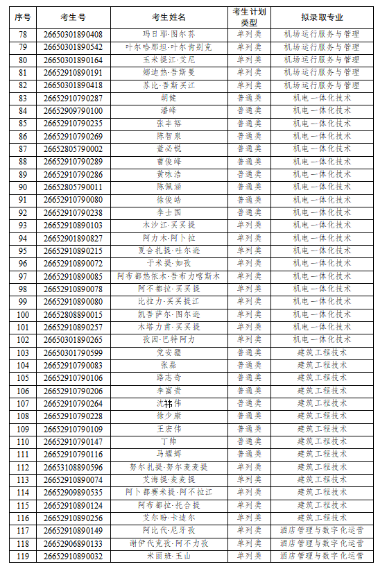
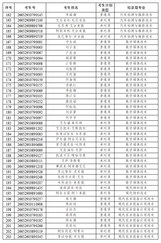
根据《关于做好自治区2026年普通高职(专科)单独招生工作的通知》和《塔里木职业技术学院2026年优秀中职毕业生直升高职(专科)招生章程》相关规定,现将学院2026年优秀中职毕业生直升高职(专科)拟录取名单予以公示,公示时间为4月21日18时—4月25日18时。公示期间,拟录取考生如若放弃录取资格,需在我校规定时间内向我院申请自愿放弃录取资格,并提交相关材料(格式见附件2)。学院一旦收到考生的放弃申请书,该申请将不可撤销,请考生在提交前务必谨慎考虑。考生录取信息确认后的名单为学院最终录取名单。需要查询成绩的考生可扫描二维码查询(附件3)。
录取咨询电话:0997-8662266、8662277
投诉举报电话:0997-8662023
附件:1.塔里木职业技术学院2026年新疆直升专招生拟录取名单
2.自愿放弃录取资格申请书
3.2026年新疆直升专招生考试成绩查询
塔里木职业技术学院
招生就业处
2026年4月21日






附件1 附件1.塔里木职业技术学院2026年新疆直升专招生拟录取名单.docx
附件3
